Упр.1.149 ГДЗ Дорофеев Суворова 8 класс (Алгебра)
Решение #1

Рассмотрим вариант решения задания из учебника Дорофеев, Суворова, Бунимович 8 класс, Просвещение:
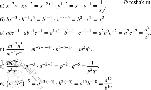
Упростите выражение:
а) x^(-2) y•xy^(-2);
б) bx^(-3)•b^(-1) x^5;
в) abc^(-1)•ab^(-1) c^(-1);
г) (m^(-2) n^5)/(m^(-4) n^(-1) );
д) (pq^(-2))/(p^3 q^3 );
е) (a^(-3) b^2 )^(-5).
Популярные решебники 8 класс Все решебники
*размещая тексты в комментариях ниже, вы автоматически соглашаетесь с пользовательским соглашением