Упр.1.143 ГДЗ Дорофеев Суворова 8 класс (Алгебра)
Решение #1

Рассмотрим вариант решения задания из учебника Дорофеев, Суворова, Бунимович 8 класс, Просвещение:
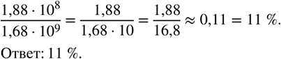
В 2007 г. одна из телефонных компаний России обеспечила 1,68•?10?^9 междугородных телефонных переговоров, причем 1,88•?10?^8 из них были международными. Сколько процентов всего количества междугородных телефонных разговоров состаили международные?
Популярные решебники 8 класс Все решебники
*размещая тексты в комментариях ниже, вы автоматически соглашаетесь с пользовательским соглашением