Упр.1.122 ГДЗ Дорофеев Суворова 8 класс (Алгебра)
Решение #1

Рассмотрим вариант решения задания из учебника Дорофеев, Суворова, Бунимович 8 класс, Просвещение:
Запишите без отрицательного показателя степени число, равное:
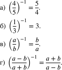
а) (4/5)^(-1);
б) (1/3)^(-1);
в) (a/b)^(-1);
г) ((a-b)/(a+b))^(-1).
Популярные решебники 8 класс Все решебники
*размещая тексты в комментариях ниже, вы автоматически соглашаетесь с пользовательским соглашением