Упр.1.12 ГДЗ Дорофеев Суворова 8 класс (Алгебра)
Решение #1

Рассмотрим вариант решения задания из учебника Дорофеев, Суворова, Бунимович 8 класс, Просвещение:
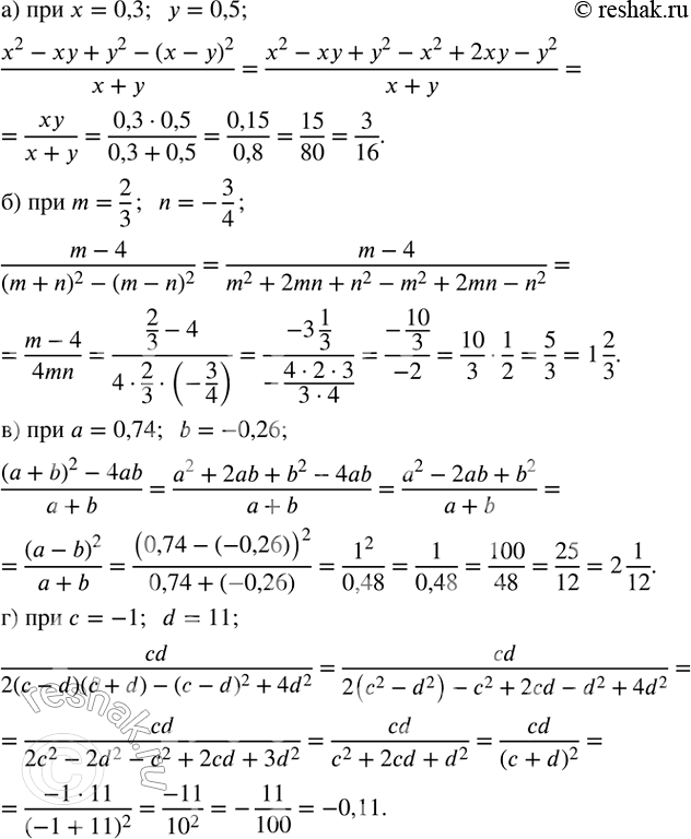
Упростите дробь и найдите ее значение при указанных значениях переменных:
а) (x^2-xy+y^2-(x-y)^2)/(x+y) при x=0,3; y=0,5;
б) (m-4)/((m+n)^2-(m-n)^2 ) при m=2/3; n=-3/4;
в) ((a+b)^2-4ab)/(a+b) при a=0,74; b=-0,26;
г) cd/(2(c-d)(c+d)-(c-d)^2+4d^2 ) при c=-1; d=11;
Популярные решебники 8 класс Все решебники
*размещая тексты в комментариях ниже, вы автоматически соглашаетесь с пользовательским соглашением