Упр.1.110 ГДЗ Дорофеев Суворова 8 класс (Алгебра)
Решение #1

Рассмотрим вариант решения задания из учебника Дорофеев, Суворова, Бунимович 8 класс, Просвещение:
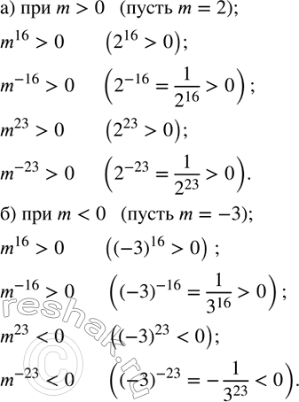
Сравните с нулем значения выражений m^16, m^(-16), m^23 и m^(-23), если а) m > 0; б) m < 0. Сделайте вывод.
Популярные решебники 8 класс Все решебники
*К сожалению, временные проблемы с публикацией комментариев с мобильных устройств.