Упр.1.10 ГДЗ Дорофеев Суворова 8 класс (Алгебра)
Решение #1

Рассмотрим вариант решения задания из учебника Дорофеев, Суворова, Бунимович 8 класс, Просвещение:
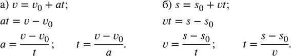
а) Из формулы скорости равноускоренного движения v=v_0+at, где v_0-начальная скорость, a-ускорение, t-время движения, выразите a и t.
б) Из формулы пути равномерного движения s=s_0+vt, где s_0-начальное расстояние, v-скорость, t-время движения, выразите v и t.
Популярные решебники 8 класс Все решебники
*размещая тексты в комментариях ниже, вы автоматически соглашаетесь с пользовательским соглашением