Дополнительная задача 9 Глава 5 ГДЗ Мордкович Семенов 11 класс (Алгебра)
Решение #1

Рассмотрим вариант решения задания из учебника Мордкович, Семенов, Александрова 11 класс, Просвещение:
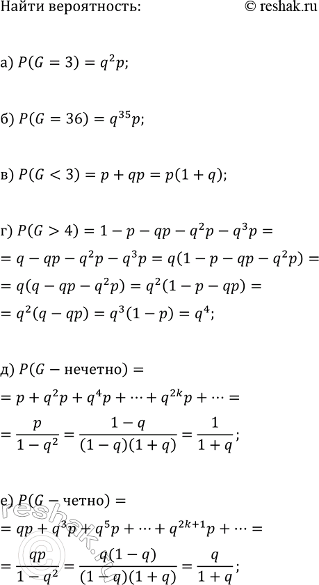
9. По таблице геометрического распределения (см. упражнение 5 «а») найдите выражение для вероятности:
a) P(G=3); в) P(G < 3); д) P(G — нечётно);
б) P(G=36); г) P(G > 4); е) P(G — чётно).
Похожие решебники
Популярные решебники 11 класс Все решебники
*размещая тексты в комментариях ниже, вы автоматически соглашаетесь с пользовательским соглашением