Дополнительная задача 9 Глава 4 ГДЗ Мордкович Семенов 11 класс (Алгебра)
Решение #1

Рассмотрим вариант решения задания из учебника Мордкович, Семенов, Александрова 11 класс, Просвещение:
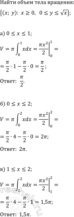
Плоскую фигуру {(х; у): x?0, 0?y?vx} между осью Ох и ветвью параболы y=vx вращают вокруг Ох. Получается тело вращения, которое называется параболоидом вращения (рис. 132).
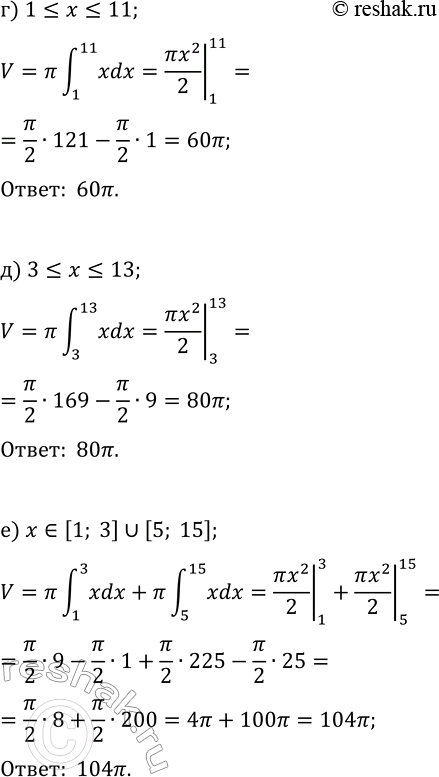
Найдите объём части этого тела вращения при:
а) 0?x?1; в) 1?x?2; д) 3?x?13;
б) 0?x?2; г) 1?x?11; е) x?[1; 3]?[5; 15].
Похожие решебники
Популярные решебники 11 класс Все решебники
*размещая тексты в комментариях ниже, вы автоматически соглашаетесь с пользовательским соглашением