Дополнительная задача 8 Глава 4 ГДЗ Мордкович Семенов 11 класс (Алгебра)
Решение #1

Рассмотрим вариант решения задания из учебника Мордкович, Семенов, Александрова 11 класс, Просвещение:
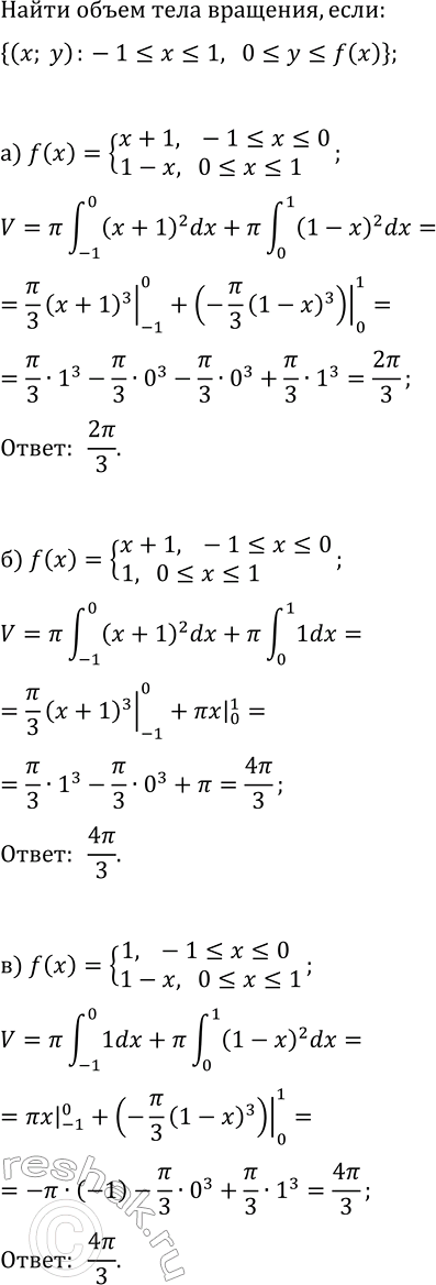
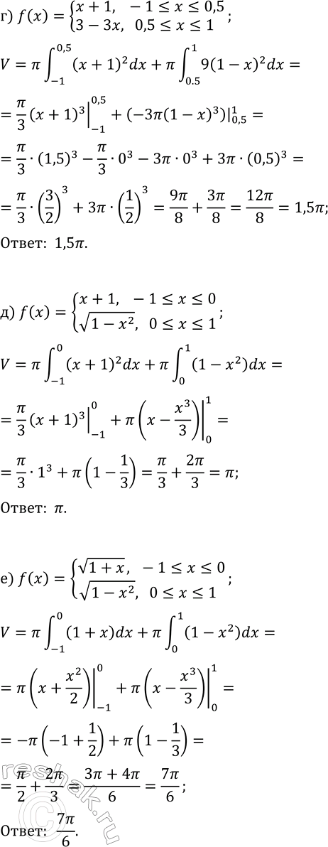
8. Найдите объём тела, полученного вращением вокруг оси Ох кривволинейной трапеции {(х; у): -1?x?1, 0?y?f(x)}, если:
а) f(x)={x+1, -1?x?0; 1-x, 0?x?1}; г) f(x)={x+1, -1?x?0,5; 3-3x, 0,5?x?1};
б) f(x)={x+1, -1?x?0; 1, 0?x?1}; д) f(x)={x+1, -1?x?0; v(1-x^2), 0?x?1};
в) f(x)={1, -1?x?0, 1-x, 0?x?1}; е) f(x)={v(1+x), -1?x?0; v(1-x^2), 0?x?1}.
Похожие решебники
Популярные решебники 11 класс Все решебники
*размещая тексты в комментариях ниже, вы автоматически соглашаетесь с пользовательским соглашением