Дополнительная задача 10 Глава 4 ГДЗ Мордкович Семенов 11 класс (Алгебра)
Решение #1

Рассмотрим вариант решения задания из учебника Мордкович, Семенов, Александрова 11 класс, Просвещение:
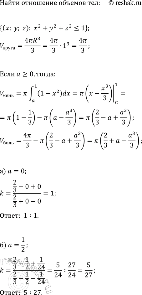
10. Шар {(х; у, z): x^2+y^2+z^2?1} разрезали плоскостью x=a на две части (рис. 133).
Найдите отношение объёмов меньшей и большей частей при:
а) a=0; в) a=-1/2; д) a=2/3;
б) a=1/2; г) a=1/3; е) a=1/5.
Похожие решебники
Популярные решебники 11 класс Все решебники
*размещая тексты в комментариях ниже, вы автоматически соглашаетесь с пользовательским соглашением