Дополнительная задача 9 Глава 2 ГДЗ Мордкович Семенов 11 класс (Алгебра)
Решение #1

Рассмотрим вариант решения задания из учебника Мордкович, Семенов, Александрова 11 класс, Просвещение:
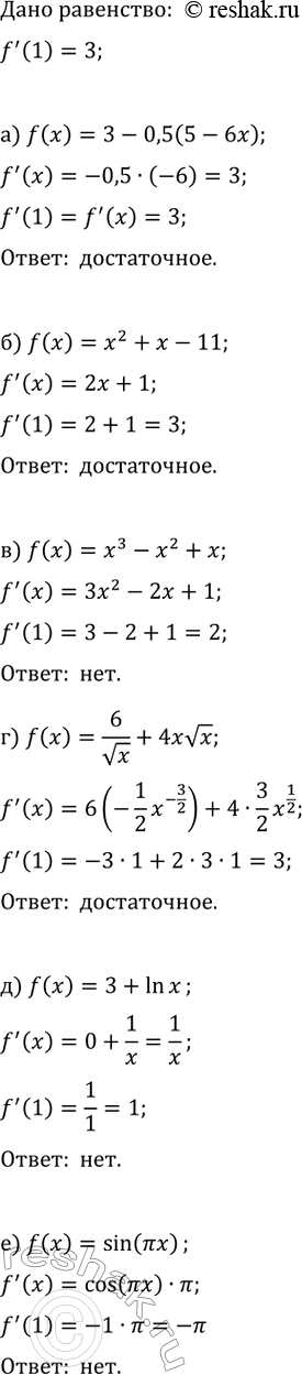
9. Какие из условий «а» — «е» являются достаточными для справедливости равенства f'(1)=3:
а) f(x)=3-0,5(5-6x);
б) f(x)=x^2+x-11;
в) f(x)=x^3-x^2+x;
г) f(x)=6/vx+4xvx;
д) f(x)+3ln(x);
е) f(x)=sin(?x)?
Похожие решебники
Популярные решебники 11 класс Все решебники
*размещая тексты в комментариях ниже, вы автоматически соглашаетесь с пользовательским соглашением