Дополнительная задача 6 Глава 1 ГДЗ Мордкович Семенов 11 класс (Алгебра)
Решение #1

Рассмотрим вариант решения задания из учебника Мордкович, Семенов, Александрова 11 класс, Просвещение:
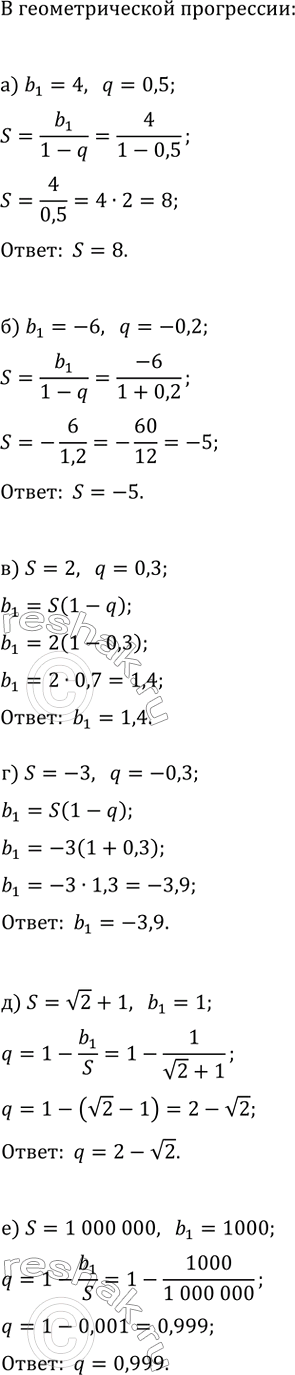
6. Для бесконечной геометрической прогрессии, знаменатель которой по модулю меньше единицы, по известным двум из трёх значений S, b_1, q вычислите третье:
а) b_1=4, q=0,5; г) S=-3, q=-0,3;
б) b_1=-6, q=-0,2; д) S=v2+1, b_1=1;
в) S=2, q=0,3; е) S=1 000 000, b_1=1000.
Похожие решебники
Популярные решебники 11 класс Все решебники
*размещая тексты в комментариях ниже, вы автоматически соглашаетесь с пользовательским соглашением