Упр.965 ГДЗ Мерзляк Полонский 5 класс (Математика)
Решение #1 (Учебник 2024)
Решение #2 (Учебник 2019)

Рассмотрим вариант решения задания из учебника Мерзляк, Полонский, Якир 5 класс, Просвещение:
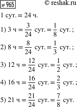
Какую часть суток составляют:
1) 3 ч; 2) 8 ч; 3) 12 ч; 4) 16 ч; 5) 21 ч?
Найдите частное:
1) 2,4 : 8; 4) 0,048 : 12; 7) 0,5 : 2;
2) 0,42 : 7; 5) 7 : 2; 8) 19 : 2;
3) 5,5 : 5; 6) 6,36 : 6; 9) 0,24 : 3.
Похожие решебники
Популярные решебники 5 класс Все решебники
*К сожалению, временные проблемы с публикацией комментариев с мобильных устройств.