Упр.939 ГДЗ Колягин Ткачёва 11 класс (Алгебра)
Решение #1
Решение #2

Рассмотрим вариант решения задания из учебника Колягин, Ткачёва, Фёдорова 11 класс, Просвещение:
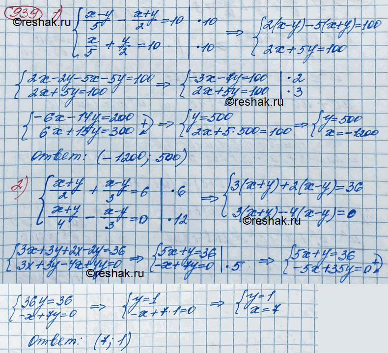
939 1) система
x-y/5 - x+y/2=10,
x/5+y/2=10;
2) система
x+y/2+x-y/3=6,
x+y/4 - x-y/3=0.
Популярные решебники 11 класс Все решебники
*размещая тексты в комментариях ниже, вы автоматически соглашаетесь с пользовательским соглашением