Упр.931 ГДЗ Мерзляк 8 класс (Алгебра)
Решение #1
Решение #2

Рассмотрим вариант решения задания из учебника Мерзляк, Полонская, Якир 8 класс, Вентана-Граф:
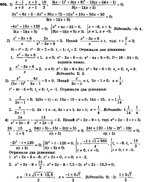
931. Решите уравнение:
1) (x-1)/(x+5) + (x+5)/(x-1) = 10/3;
2) (x2-3x+6)/x + 2x/(x2-3x+6) = 3;
Похожие решебники
Популярные решебники 8 класс Все решебники
*К сожалению, временные проблемы с публикацией комментариев с мобильных устройств.