Упр.930 ГДЗ Никольский Потапов 7 класс (Алгебра)
Решение #1
Решение #2

Рассмотрим вариант решения задания из учебника Никольский, Потапов 7 класс, Просвещение:
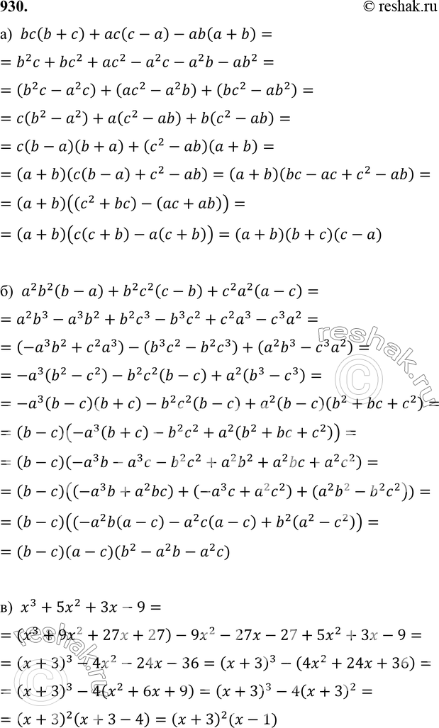
930. а) bс (b + с) + ас (с - а) - ab(a + b);
б) а2b2(b - а) + b2с2(с - b) + с2а2(а - с);
в) х3 + 5х2 + Зх - 9.
Популярные решебники 7 класс Все решебники
*К сожалению, временные проблемы с публикацией комментариев с мобильных устройств.