Упр.910 ГДЗ Мерзляк Полонский 7 класс (Алгебра)
Решение #1 (Учебник 2025)
Решение #2 (Учебник 2021)
Решение #3 (Учебник 2021)

Рассмотрим вариант решения задания из учебника Мерзляк, Полонская, Якир 7 класс, Вентана-Граф:
Запишите промежуток, изображённый на рисунке 23.
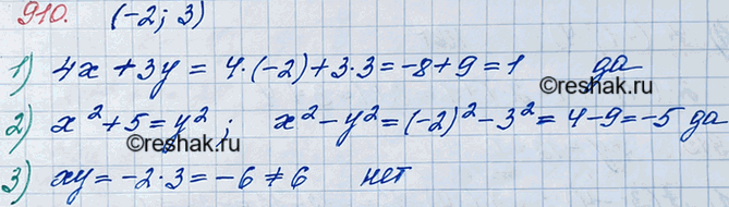
Является ли пара чисел (-2; 3) решением уравнения:
1) 4х + Зу = 1;
2) х2 + 5 = у2;
3) ху = 6?
Похожие решебники
Популярные решебники 7 класс Все решебники
*К сожалению, временные проблемы с публикацией комментариев с мобильных устройств.