Упр.9.56 ГДЗ Дорофеев Шарыгин 6 класс (Математика)
Решение #1

Рассмотрим вариант решения задания из учебника Дорофеев, Шарыгин, Суворова 6 класс, Просвещение:
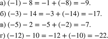
Замените вычитание сложением и вычислите значение выражения:
а) (-1) - 8;
б) (-3) - 14;
в) (-5) -2;
г) (-12) - 10.
Популярные решебники 6 класс Все решебники
*К сожалению, временные проблемы с публикацией комментариев с мобильных устройств.