Упр.9.38 ГДЗ Дорофеев Шарыгин 6 класс (Математика)
Решение #1

Рассмотрим вариант решения задания из учебника Дорофеев, Шарыгин, Суворова 6 класс, Просвещение:
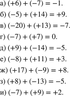
Выполните сложение:
а) (+6) + (-7);
б) (-5)+ (+14);
в) (-20) + (+13);
г) (-7) + (+7);
д) (+9) + (-14);
е) (-8) + (+11);
ж) (+17) + (-9);
з) (+8) + (-13);
и) (-7) + (+9).
Популярные решебники 6 класс Все решебники
*К сожалению, временные проблемы с публикацией комментариев с мобильных устройств.