Упр.891 ГДЗ Мерзляк Полонский 7 класс (Алгебра)
Решение #1 (Учебник 2025)
Решение #2 (Учебник 2021)
Решение #3 (Учебник 2021)

Рассмотрим вариант решения задания из учебника Мерзляк, Полонская, Якир 7 класс, Вентана-Граф:
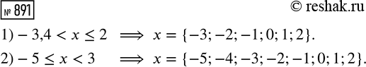
Найдите все целые значения x, при которых верно неравенство:
1) -3,4 < х =< 2; 2) -5 =< х < 3.
Точка С принадлежит отрезку АВ, длина которого равна 8. Длина отрезка АС равна х, длина отрезка ВС — у. Постройте график зависимости у от х, 0 < х < 8. Отметьте на этом графике точку, соответствующую случаю, когда С — середина отрезка АВ.
Похожие решебники
Популярные решебники 7 класс Все решебники
*К сожалению, временные проблемы с публикацией комментариев с мобильных устройств.