🔥ГДЗ под запретом?

Упр.89 ГДЗ Никольский Потапов 9 класс (Алгебра)

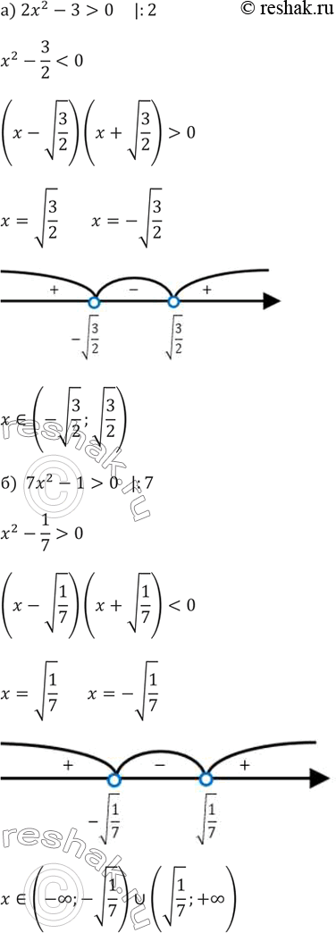
Решение #1

Изображение 89.а) 2x^2-3>0   б) (7x)^2-1>0    в) (5-0,2x)^2>0    г)...
Дополнительное изображение

Решение #2

Изображение 89.а) 2x^2-3>0   б) (7x)^2-1>0    в) (5-0,2x)^2>0    г)...
Дополнительное изображение

Рассмотрим вариант решения задания из учебника Никольский, Потапов 9 класс, Просвещение:
89.
а) 2x^2-3 > 0
б) (7x)^2-1 > 0
в) (5-0,2x)^2 > 0
г) 1,2-(3x)^2 < 0
*Цитирирование задания со ссылкой на учебник производится исключительно в учебных целях для лучшего понимания разбора решения задания.
*К сожалению, временные проблемы с публикацией комментариев с мобильных устройств.