Упр.844 ГДЗ Колягин Ткачёва 11 класс (Алгебра)
Решение #1
Решение #2

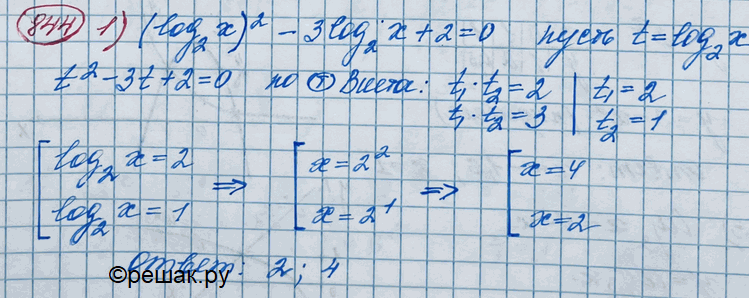
Рассмотрим вариант решения задания из учебника Колягин, Ткачёва, Фёдорова 11 класс, Просвещение:
844 1) (log2x)2 = 3log2x +2=0;
2) (log3x)2 + 5 = 2log3x3.
Популярные решебники 11 класс Все решебники
*К сожалению, временные проблемы с публикацией комментариев с мобильных устройств.