Упр.825 ГДЗ Мерзляк 8 класс (Алгебра)
Решение #1
Решение #2
Решение #3

Рассмотрим вариант решения задания из учебника Мерзляк, Полонская, Якир 8 класс, Вентана-Граф:
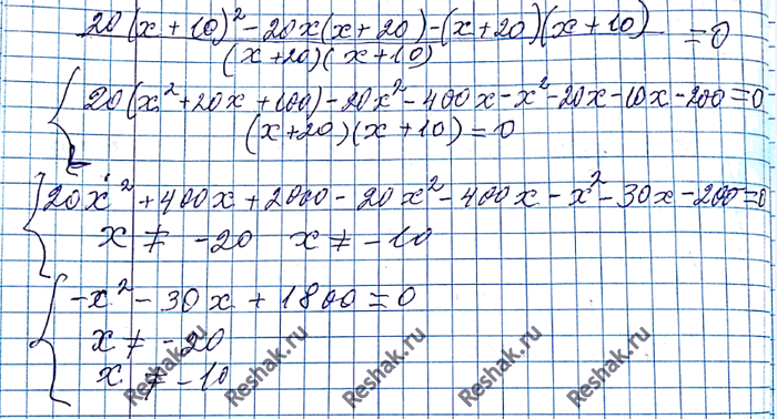
825. Кусок сплава меди и цинка, содержавший 10 кг цинка, сплавили с 10 кг меди. Полученный сплав содержит на 5 % меди больше, чем исходный. С колько килограммов меди содержал исходный кусок сплава?
Похожие решебники
Популярные решебники 8 класс Все решебники
*К сожалению, временные проблемы с публикацией комментариев с мобильных устройств.