Упр.807 ГДЗ Колягин Ткачёва 11 класс (Алгебра)
Решение #1
Решение #2

Рассмотрим вариант решения задания из учебника Колягин, Ткачёва, Фёдорова 11 класс, Просвещение:
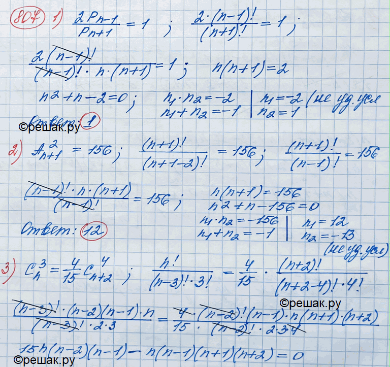
807. Решить относительно n уравнение:
1) 2Pn-1/Pn+1 = 1;
2) An+1 2 =156;
3) Cn 3=4/15 Cn+2 4;
4) 12n+3 n-1 = 5An+1 2.
Популярные решебники 11 класс Все решебники
*размещая тексты в комментариях ниже, вы автоматически соглашаетесь с пользовательским соглашением