Упр.8.90 ГДЗ Дорофеев Шарыгин 5 класс (Математика)
Решение #1

Рассмотрим вариант решения задания из учебника Дорофеев, Шарыгин, Суворова 5 класс, Просвещение:
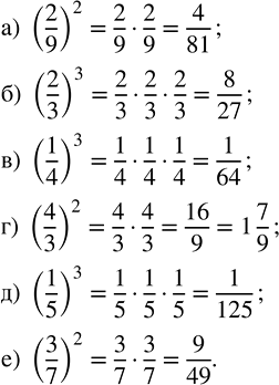
Найдите значение выражения:
а) (2/9)^2; б) (2/3)^3; в) (1/4)^3; г) (4/3)^2; д) (1/5)^3; е) (3/7)^2.
Популярные решебники 5 класс Все решебники
*К сожалению, временные проблемы с публикацией комментариев с мобильных устройств.