Упр.8.80 ГДЗ Дорофеев Шарыгин 5 класс (Математика)
Решение #1

Рассмотрим вариант решения задания из учебника Дорофеев, Шарыгин, Суворова 5 класс, Просвещение:
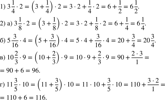
Разбираем способ решения. 1) При умножении смешанной дроби на натуральное число можно пользоваться распределительным свойством. Рассмотрите, как выполнено умножение:
3 1/4 · 2 = (3 + 1/4) · 2 = 3 · 2 + 1/4 · 2 = 6 + 1/2 = 6 1/2.
2) Пользуясь этим приёмом, найдите произведение:
а) 3 1/8 · 2; б) 5 3/16 · 4; в) 10 2/3 · 9; г) 11 3/5 · 10.
Популярные решебники 5 класс Все решебники
*К сожалению, временные проблемы с публикацией комментариев с мобильных устройств.