Упр.8.14 ГДЗ Мордкович Семенов 11 класс (Алгебра)
Решение #1 (Учебник 2025)

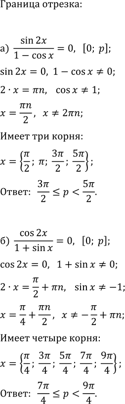
Рассмотрим вариант решения задания из учебника Мордкович, Семенов, Александрова 11 класс, Просвещение:
а) При каких значениях параметра p уравнение sin(2x) / (1 - cos(x)) = 0 на отрезке [0; p] имеет три корня?
б) При каких значениях параметра p уравнение cos(2x) / (1 + sin(x)) = 0 на отрезке [0; p] имеет четыре корня?
Похожие решебники
Популярные решебники 11 класс Все решебники
*К сожалению, временные проблемы с публикацией комментариев с мобильных устройств.