Упр.72 ГДЗ Бунимович Булычев 11 класс (Алгебра)

Решение #1

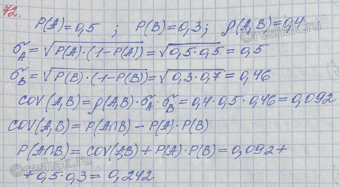
Изображение Будем называть корреляцией случайных событий коэффициент корреляции их индикаторов (напомним, что индикатором события А называется случайная величина, которая равна 1,...

Рассмотрим вариант решения задания из учебника Бунимович, Булычев 11 класс, Просвещение:
Будем называть корреляцией случайных событий коэффициент корреляции их индикаторов (напомним, что индикатором события А называется случайная величина, которая равна 1, когда А наступает, и равна 0, когда А не наступает). Вероятность, что студент сдаст в предстоящую сессию первый экзамен, равна 0,5; что сдаст второй экзамен — 0,3. Корреляция между успешной сдачей первого и второго экзаменов равна 0,4. Чему равна вероятность, что он сдаст оба экзамена?
*Цитирирование задания со ссылкой на учебник производится исключительно в учебных целях для лучшего понимания разбора решения задания.
*размещая тексты в комментариях ниже, вы автоматически соглашаетесь с пользовательским соглашением