Упр.716 ГДЗ Колягин Ткачёва 11 класс (Алгебра)
Решение #1
Решение #2

Рассмотрим вариант решения задания из учебника Колягин, Ткачёва, Фёдорова 11 класс, Просвещение:
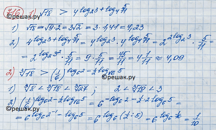
716. Какое из чисел больше:
1) корень 18 или 4log23 + log4 5/11;
2) корень 3 степени 18 или (1/6)log62 - 1/2log корень 6 5?
Популярные решебники 11 класс Все решебники
*размещая тексты в комментариях ниже, вы автоматически соглашаетесь с пользовательским соглашением