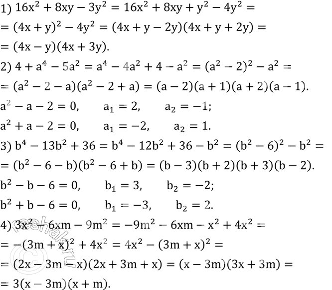
Упр.707 ГДЗ Колягин Ткачёва 8 класс (Алгебра)
Решение #1 (Учебник 2024)
Решение #2 (Учебник 2013)

Рассмотрим вариант решения задания из учебника Колягин, Ткачёва, Фёдорова 8 класс, Просвещение:
Какие целые значения может принимать x, если:
1) 0?x?7,2;
2)-5 1/3?x?0;
3) 4<1/3 x<5;
4) 11<3x<13?
Популярные решебники 8 класс Все решебники
*К сожалению, временные проблемы с публикацией комментариев с мобильных устройств.