Упр.7.99 ГДЗ Дорофеев Суворова 7 класс (Алгебра)
Решение #1

Рассмотрим вариант решения задания из учебника Дорофеев, Суворова, Бунимович 7 класс, Просвещение:
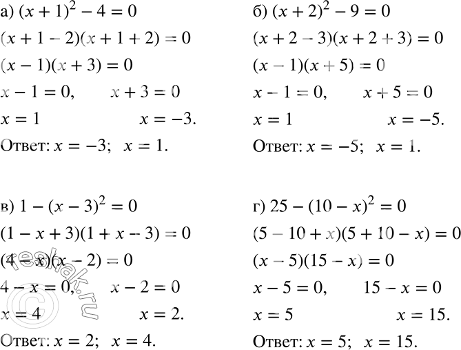
Решите уравнение:
а) (х + 1)2 - 4 = 0;
б) (х + 2)2 - 9 = 0;
в) 1 — (х — 3)2 = 0;
г) 25 - (10 - х)2= 0.
Популярные решебники 7 класс Все решебники
*размещая тексты в комментариях ниже, вы автоматически соглашаетесь с пользовательским соглашением