Упр.7.66 ГДЗ Дорофеев Шарыгин 5 класс (Математика)
Решение #1

Рассмотрим вариант решения задания из учебника Дорофеев, Шарыгин, Суворова 5 класс, Просвещение:
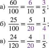
Пятиклассники выполняли на доске задание на сокращение дробей и потом часть записей стёрли. Восстановите запись:
а) 60/100 = .../10 = .../5;
б) 25/100 = 5/... = 1/...;
в) 24/120 = 4/... = .../5.
Популярные решебники 5 класс Все решебники
*К сожалению, временные проблемы с публикацией комментариев с мобильных устройств.