Упр.7.33 ГДЗ Дорофеев Шарыгин 6 класс (Математика)
Решение #1

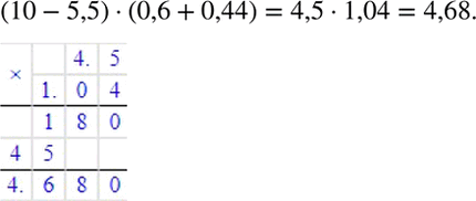
Рассмотрим вариант решения задания из учебника Дорофеев, Шарыгин, Суворова 6 класс, Просвещение:
Выполните действия: (10 - 5,5) * (0,6 + 0,44).
Популярные решебники 6 класс Все решебники
*К сожалению, временные проблемы с публикацией комментариев с мобильных устройств.