Упр.7.137 ГДЗ Дорофеев Шарыгин 5 класс (Математика)
Решение #1

Рассмотрим вариант решения задания из учебника Дорофеев, Шарыгин, Суворова 5 класс, Просвещение:
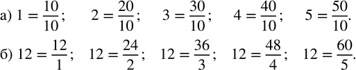
а) Представьте каждое из чисел 1, 2, 3, 4, 5 в виде дроби со знаменателем 10.
б) Представьте число 12 в виде дроби со знаменателем 1, 2, 3, 4, 5.
Популярные решебники 5 класс Все решебники
*К сожалению, временные проблемы с публикацией комментариев с мобильных устройств.