Упр.654 ГДЗ Колягин Ткачёва 11 класс (Алгебра)
Решение #1
Решение #2

Рассмотрим вариант решения задания из учебника Колягин, Ткачёва, Фёдорова 11 класс, Просвещение:
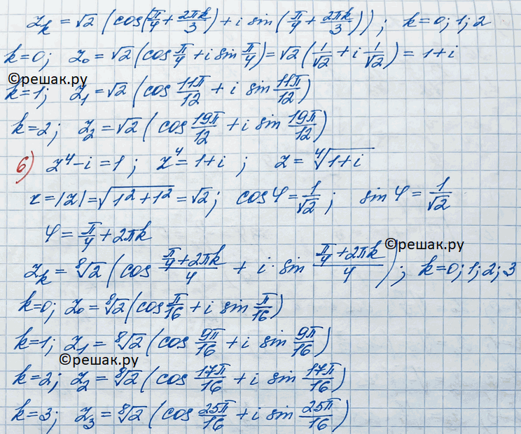
654. 1) z4 + 81 = 0;
2) 8z3 - 27 = 0;
3) z4 = i;
4) z3 = -2i;
5) z8 = -2 + 2i;
6)z4-i=1.
Популярные решебники 11 класс Все решебники
*К сожалению, временные проблемы с публикацией комментариев с мобильных устройств.