Упр.64 ГДЗ Колягин Ткачёва 7 класс (Алгебра)
Решение #1 (Учебник 2023)
Решение #2 (Учебник 2012)

Рассмотрим вариант решения задания из учебника Колягин, Ткачёва, Фёдорова 7 класс, Просвещение:
Выполнить действия:
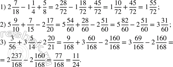
1) 2 7/18 - 1 1/4 + 5/8;
2) 5 9/10 + 7/15 - 2 17/20;
3) 3/56 + 3 5/15 - 2 20/21.
Турист 3 км пути прошел пешком и проехал на автобусе t ч со скоростью 40 км/ч. Написать формулу пути s, проделанного туристом. Из этой формулы выразить t через s.
Популярные решебники 7 класс Все решебники
*размещая тексты в комментариях ниже, вы автоматически соглашаетесь с пользовательским соглашением