Упр.609 ГДЗ Колягин Ткачёва 7 класс (Алгебра)
Решение #1 (Учебник 2023)
Решение #2 (Учебник 2012)

Рассмотрим вариант решения задания из учебника Колягин, Ткачёва, Фёдорова 7 класс, Просвещение:
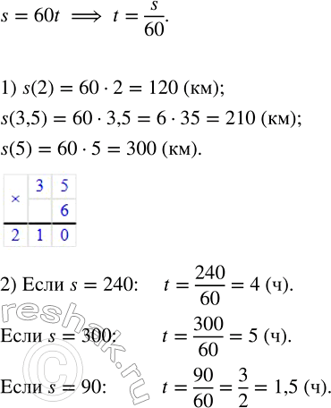
Функция задана формулой s = 60t, где s — путь (в км) и t — время (в ч).
1) Определить s(2), s(3,5), s(5).
2) Определить t, если s = 240, s = 300, s = 90.
Построить график функции y=-3x+b, если известно, что этот график проходит через точку: 1) A (-2;4); 2) B (5;2).
Популярные решебники 7 класс Все решебники
*К сожалению, временные проблемы с публикацией комментариев с мобильных устройств.