🔥ГДЗ под запретом?

Упр.6.63 ГДЗ Виленкин Жохов 6 класс Часть 2, Просвещение (Математика)

Решение #1 (Учебник 2023)

Изображение Упр.6.63 ГДЗ Виленкин Жохов 6 класс Часть 2, Просвещение

Решение #2 (Учебник 2023)

Изображение Упр.6.63 ГДЗ Виленкин Жохов 6 класс Часть 2, Просвещение

Рассмотрим вариант решения задания из учебника Виленкин, Жохов, Чесноков 6 класс, Просвещение:
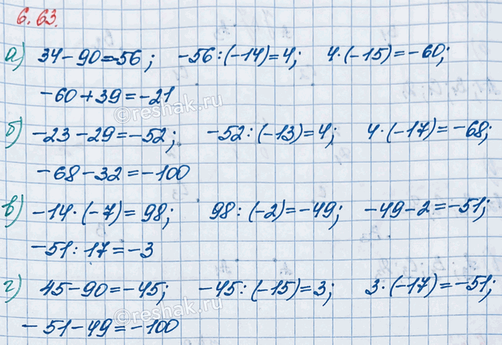
Вычислите:
а) 34 - 90; б) -23 - 29; в) -14 · (-7); г) 45 - 90.

*Цитирирование задания со ссылкой на учебник производится исключительно в учебных целях для лучшего понимания разбора решения задания.
*К сожалению, временные проблемы с публикацией комментариев с мобильных устройств.