Упр.6.46 ГДЗ Дорофеев Суворова 7 класс (Алгебра)
Решение #1

Рассмотрим вариант решения задания из учебника Дорофеев, Суворова, Бунимович 7 класс, Просвещение:
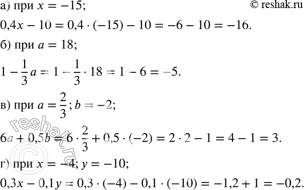
Найдите значение выражения:
а) 0,4x - 10 при x = -15;
б) 1 - 1/3*a при a = 18;
в) б a + 0,5b при a = 2/3, b = -2;
г) 0,3x-0,1y при x = -4, у = -10.
Популярные решебники 7 класс Все решебники
*К сожалению, временные проблемы с публикацией комментариев с мобильных устройств.