Упр.6.25 ГДЗ Мордкович Семенов 11 класс (Алгебра)
Решение #1 (Учебник 2025)
Решение #2 (Учебник 2022)

Рассмотрим вариант решения задания из учебника Мордкович, Семенов, Александрова 11 класс, Просвещение:
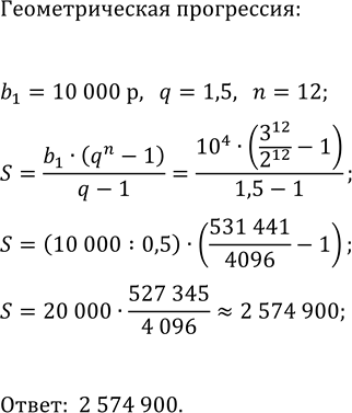
Онлайн-магазин в первый месяц работы принёс хозяину прибыль 10 000 р. А в каждый из следующих месяцев прибыль возрастала на 50 % по сравнению с предыдущим. Какую прибыль (приблизительно) получил хозяин онлайн-магазина за год?
Найдите сумму бесконечной геометрической прогрессии 2/3, 1/3, 1/6, ... .
Похожие решебники
Популярные решебники 11 класс Все решебники
*К сожалению, временные проблемы с публикацией комментариев с мобильных устройств.