Упр.591 ГДЗ Колягин Ткачёва 11 класс (Алгебра)
Решение #1
Решение #2

Рассмотрим вариант решения задания из учебника Колягин, Ткачёва, Фёдорова 11 класс, Просвещение:
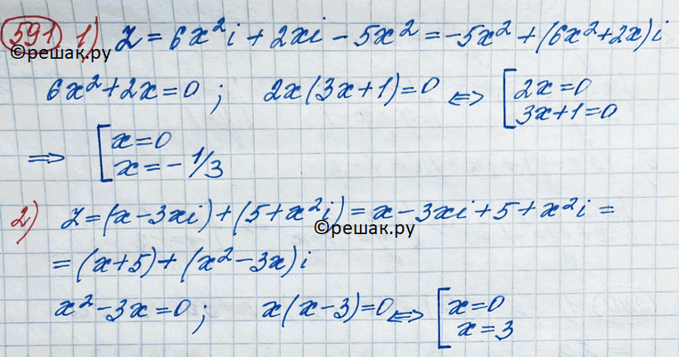
591. Найти действительные значения x, при которых число z будет действительным:
1)2 = 6x2i + 2xi - 5х2;
2) z = (х - 3xi) + (5 + x2i).
Популярные решебники 11 класс Все решебники
*К сожалению, временные проблемы с публикацией комментариев с мобильных устройств.