Упр.578 ГДЗ Колягин Ткачёва 10 класс (Алгебра)
Решение #1
Решение #2

Рассмотрим вариант решения задания из учебника Колягин, Ткачёва, Фёдорова 10 класс, Просвещение:
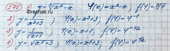
578. Записать внутреннюю фи (х) и внешнюю f(фи) функции, задающие сложную функцию у = f(фи(х)), если:
1) y = корень 3 степени (x2-x);
2) y=1/(x3+3);
3) y=1/корень (x+1);
4) y= корень (x5+3).
Популярные решебники 10 класс Все решебники
*размещая тексты в комментариях ниже, вы автоматически соглашаетесь с пользовательским соглашением