🔥ГДЗ под запретом?

Упр.562 ГДЗ Никольский Потапов 9 класс (Алгебра)

Решение #1

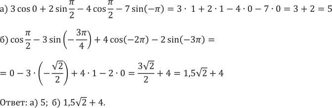
Изображение 562.а) 3 cos0+2sin пи/2-4 cos пи/2-7 sin(-пи)б) cos пи/2-3 sin?(-3пи/4)+4cos(-2пи)-2...

Решение #2

Изображение 562.а) 3 cos0+2sin пи/2-4 cos пи/2-7 sin(-пи)б) cos пи/2-3 sin?(-3пи/4)+4cos(-2пи)-2...

Рассмотрим вариант решения задания из учебника Никольский, Потапов 9 класс, Просвещение:
562.
а) 3 cos0+2sin пи/2-4 cos пи/2-7 sin(-пи)
б) cos пи/2-3 sin?(-3пи/4)+4cos(-2пи)-2 sin(-3пи)
*Цитирирование задания со ссылкой на учебник производится исключительно в учебных целях для лучшего понимания разбора решения задания.
*К сожалению, временные проблемы с публикацией комментариев с мобильных устройств.