Упр.558 ГДЗ Мерзляк Полонский 7 класс (Алгебра)
Решение #1 (Учебник 2025)
Решение #2 (Учебник 2021)
Решение #3 (Учебник 2021)

Рассмотрим вариант решения задания из учебника Мерзляк, Полонская, Якир 7 класс, Вентана-Граф:
Представьте в виде произведения многочленов выражение:
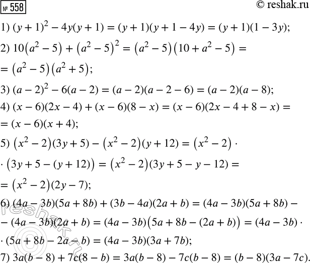
1) (у + 1)^2 - 4у(у + 1);
2) 10(a^2 - 5) + (a^2 - 5)^2;
3) (a - 2)^2 - 6(a - 2);
4) (х - 6)(2х - 4) + (х - б)(8 - х);
5) (х^2 - 2)(3у + 5) - (х^2 - 2)(у + 12);
6) (4а - 3b)(5a + 8b) + (3b - 4a)(2a + b);
7) 3а(b - 8) + 7с(8 - b).
При каком значении а уравнение (а2 - 25) х = а + 5:
1) имеет бесконечно много корней;
2) не имеет корней;
3) имеет один корень?
Похожие решебники
Популярные решебники 7 класс Все решебники
*К сожалению, временные проблемы с публикацией комментариев с мобильных устройств.