🔥ГДЗ под запретом?

Упр.55 ГДЗ Никольский Потапов 9 класс (Алгебра)

Решение #1

Изображение 55. а) 2x+7>3-x 1/3 x-1>2x-1/4б) 2/3 x>83/4 x-1>3/5 x-1в)(x-1)/2(x-5)/3  г)(2x+1)/3>(3-x...
Дополнительное изображение

Решение #2

Изображение 55. а) 2x+7>3-x 1/3 x-1>2x-1/4б) 2/3 x>83/4 x-1>3/5 x-1в)(x-1)/2(x-5)/3  г)(2x+1)/3>(3-x...
Дополнительное изображение

Рассмотрим вариант решения задания из учебника Никольский, Потапов 9 класс, Просвещение:
55.
а)
2x+7 > 3-x
1/3 x-1 > 2x-1/4

б)
2/3 x > 8
3/4 x-1 > 3/5 x-1

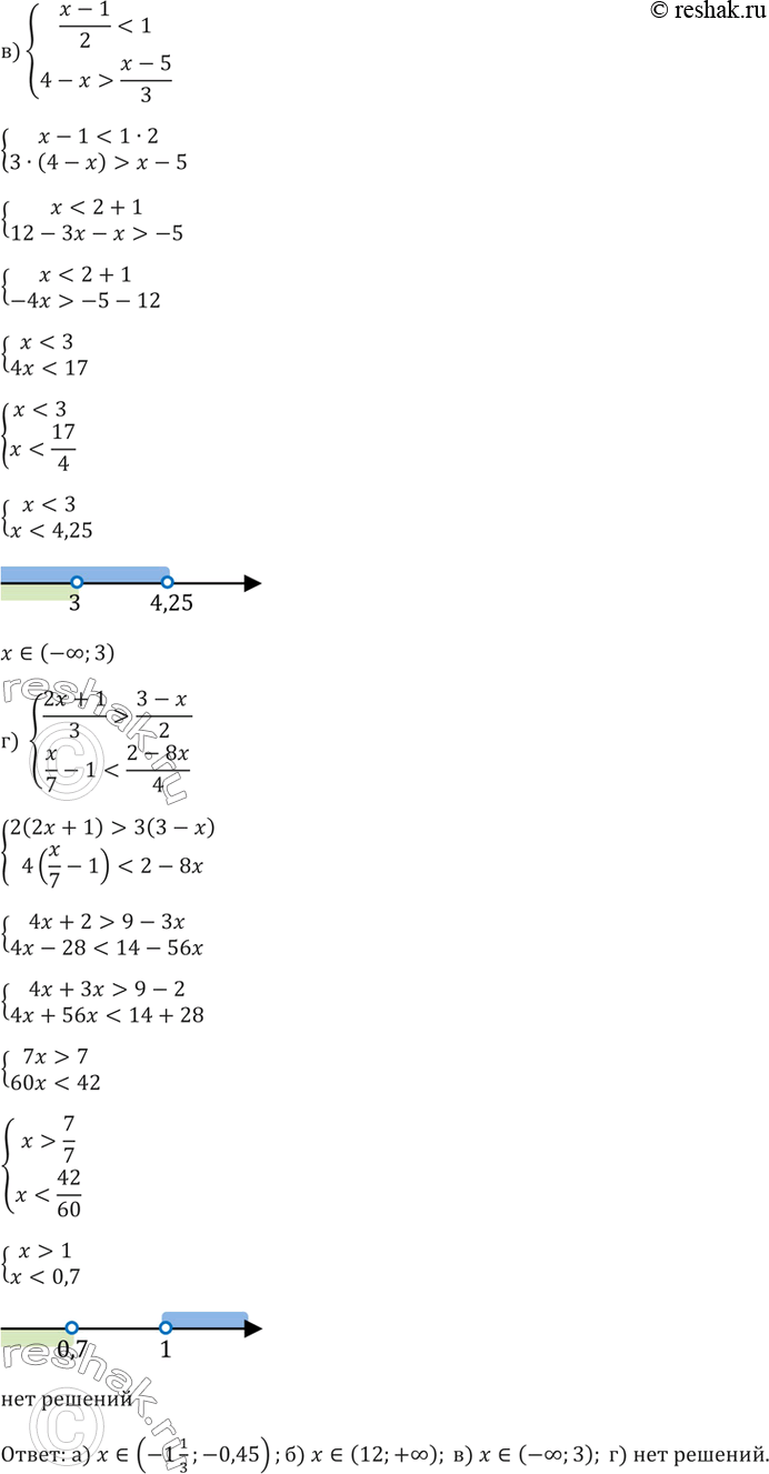
в)
(x-1)/2 < 1
4-x > (x-5)/3

г)
(2x+1)/3 > (3-x )/2
x/7-1 < (2-8x)/4
*Цитирирование задания со ссылкой на учебник производится исключительно в учебных целях для лучшего понимания разбора решения задания.
*К сожалению, временные проблемы с публикацией комментариев с мобильных устройств.