Упр.547 ГДЗ Колягин Ткачёва 10 класс (Алгебра)
Решение #1
Решение #2

Рассмотрим вариант решения задания из учебника Колягин, Ткачёва, Фёдорова 10 класс, Просвещение:
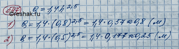
547. Расход воды Q небольшого оросительного канала (количество воды в кубических метрах, протекающее через поперечное сечение канала) на практике часто определяют с помощью специального отверстия в поперечной перегородке— водосливе по формуле Q=1,4h2,5, где h — напор воды — высота слоя воды (в м) перед водосливом. Найти расход воды, если напор воды равен: 1) 0,8 м; 2) 0,5 м.
Популярные решебники 10 класс Все решебники
*размещая тексты в комментариях ниже, вы автоматически соглашаетесь с пользовательским соглашением