Упр.533 ГДЗ Мерзляк Полонский 7 класс (Алгебра)
Решение #1 (Учебник 2025)
Решение #2 (Учебник 2025)
Решение #3 (Учебник 2021)
Решение #4 (Учебник 2021)

Рассмотрим вариант решения задания из учебника Мерзляк, Полонская, Якир 7 класс, Вентана-Граф:
Решите уравнение:
1) 1х + 2х = х6;
2) х4 + х8 = 1x2.
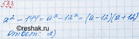
Каким из данных произведений многочленов тождественно равен многочлен а2 - 144:
1) (а - 12)2;
2) (а - 12)(а + 12);
3) (12-а)(12 + a);
4) (12 - а)(-12 - а)?
Похожие решебники
Популярные решебники 7 класс Все решебники
*К сожалению, временные проблемы с публикацией комментариев с мобильных устройств.