Упр.514 ГДЗ Колягин Ткачёва 10 класс (Алгебра)
Решение #1
Решение #2

Рассмотрим вариант решения задания из учебника Колягин, Ткачёва, Фёдорова 10 класс, Просвещение:
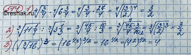
514. 1) корень 4 степени 3/4 * корень 4 степени 6*3/4;
2) корень 3 степени 11*1/4 : корень 3 степени 3*1/3;
3) (корень корень 3 степени 16)3.
Популярные решебники 10 класс Все решебники
*размещая тексты в комментариях ниже, вы автоматически соглашаетесь с пользовательским соглашением