Упр.5.25 ГДЗ Мерзляк 10 класс Углубленный уровень (Алгебра)
Решение #1

Рассмотрим вариант решения задания из учебника Мерзляк, Номировский, Поляков 10 класс, Просвещение:
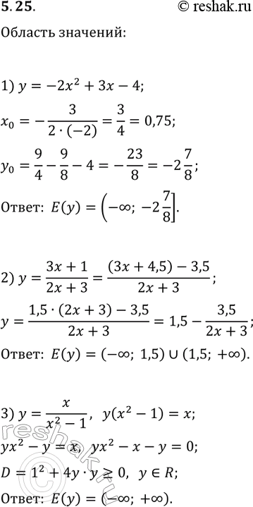
5.25. Найдите область значений функции:
1) y=-2x^2+3x-4; 2) y=(3x+1)/(2x+3); 3) y=x/(x^2-1).
Похожие решебники
Популярные решебники 10 класс Все решебники
*К сожалению, временные проблемы с публикацией комментариев с мобильных устройств.