Упр.5.18 ГДЗ Дорофеев Суворова 7 класс (Алгебра)
Решение #1

Рассмотрим вариант решения задания из учебника Дорофеев, Суворова, Бунимович 7 класс, Просвещение:
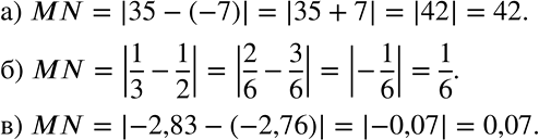
Найдите длину отрезка MN, если:
а) М(-7), N(35);
б) M(1/2), N(1/3);
в) М(-2,76), N(-2,83).
Популярные решебники 7 класс Все решебники
*размещая тексты в комментариях ниже, вы автоматически соглашаетесь с пользовательским соглашением